Chống sét lan truyền OBO V20-3-280 (5095163) là thiết bị cắt sét lan truyền (SPD – Surge Protective Device) Type 2 thuộc dòng V20 của OBO Bettermann – thương hiệu thiết bị chống sét hàng đầu đến từ Đức.
Thiết bị được thiết kế chuyên dụng để lắp đặt trong tủ điện phân phối, bảo vệ hệ thống điện 3 pha 280V khỏi xung sét lan truyền và quá áp do đóng cắt, giúp tăng tuổi thọ thiết bị điện và đảm bảo an toàn vận hành cho công trình.
Tải Catalogue thiết bị chống sét OBO V20-3-280: Tại đây
Tải chứng chỉ thiết bị chống sét OBO: CO, CQ
Thông số kỹ thuật chống sét 3 pha OBO V20-3-280
- Điện áp làm việc định mức (Ue): 230VAC
- Điện áp sử dụng lớn nhất (V): 280VAC
- Số cực: 3P
- Nhóm thiết bị chống sét: nhóm 2
- Dòng xả sét định mức (8/20us) In: 20kA
- Dòng xả sét lớn nhất (8/20us) In: 40kA
- Dòng xả sét tổng (8/20us) Itotal: 120kA
- Điện áp xung tối đa bảo vệ được: < 1.3kV
- Thời gian đáp ứng: < 25 ns
- Công nghệ: Varistor chất lượng cao
- Có chỉ thị trạng thái hoạt động (màu xanh/đỏ)
- Đáp ứng tiêu chuẩn châu Âu IEC
- Hãng sản xuất: OBO / Xuất xứ: Đức/Hungary
- Model: V20-3-280 / Mã sản phẩm: 5095163
- Bảo hành: 12 tháng theo chính sách của hãng
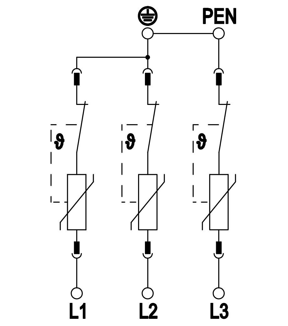
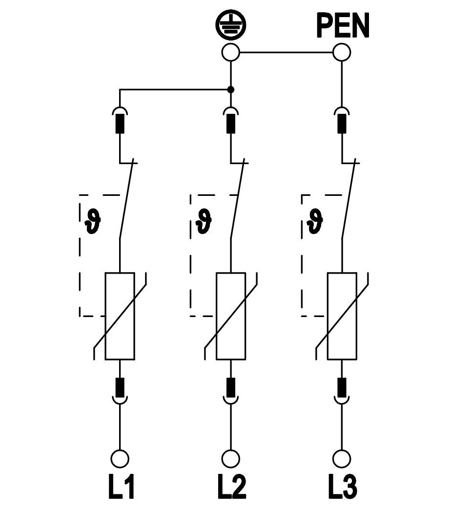
Hướng dẫn lắp đặt thiết bị cắt sét 3 pha OBO V20-3-280

Hướng dẫn đấu nối chống sét 3 pha V20-3-280
Mọi yêu cầu về tài liệu kỹ thuật, Catalogue, báo giá thiết bị cắt lọc sét 3 pha OBO V20-3-280, Quý khách vui lòng liên hệ với chống sét Đông Nam để được tư vấn chi tiết.
